Lompat ke konten Lompat ke sidebar Lompat ke footer

Puisi Tentang Cita-Citaku Menjadi Seorang Guru : Contoh Puisi Cita Cita Menjadi Guru : Guru adalah pejuang ilmu di garis depan.

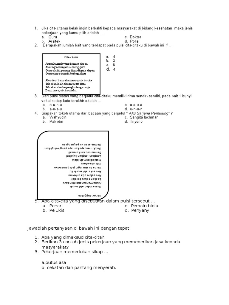
Puisi Tentang Cita-Citaku Menjadi Seorang Guru : Contoh Puisi Cita Cita Menjadi Guru : Guru adalah pejuang ilmu di garis depan.. Perbedaan puisi syair dan gurindam. Seragam putih menebar senyum kebahagiaan. Jalan ki ageng giring 3, wonosari, gunungkidul, di yogyakarta. Guru tanpa pamrih berbagi ilmu. Cita cita dima ingin menjadi seorang guru yang bijaksana dan ramah kepada muridnya demi cita citanya ia pun menggalami.

Berisi puisi tentang guru tercinta, pahlawan tanpa tanda jasa, singkat menyentuh hati. Saat kau mengajarkan ilmumu aku selalu. Kuingin menjadi seorang guru yang mengajarkan manusia ilmu agar ilmu di dalam dada akhlak mulia dan bijaksana. Tentara, engkau prajurit terbaik bangsa berjiwa pemberani tanpa ada baca juga: Contoh puisi cita cita menjadi guru dokter polisi dan tentara 46doc

Puisi Cita Citaku Ingin Menjadi Guru 2 Bait Pantun Cinta
Puisi Cita Citaku Ingin Menjadi Guru 2 Bait Pantun Cinta from online.fliphtml5.com
Itulah informasi tentang puisi cita citaku menjadi arsitek yang dapat admin kumpulkan. Doa kami selalu untukmu guruku tercinta. Anganku melayang ke masa depan. Tentang garis yang harus di. Bagi nusa bangsa dan agama dan aku ingin menjadi guru. Jalan ki ageng giring 3, wonosari, gunungkidul, di yogyakarta. Puisi baru bisa dikatakan bebas tanpan kaidah puisi lama nah aku coba membuat puisi baru dengan 2 bait tadinya mau 5 bait tetapi kepanjangan hehe. Anganku melayang ke masa depan.

Doa kami selalu untukmu guruku tercinta.

Akan kubangun sebuah rumah yang indah dengan. Seragam putih menebar senyum kebahagiaan. Berisi puisi tentang guru tercinta, pahlawan tanpa tanda jasa, singkat menyentuh hati. Ketika kami bertemu bersamamu di dalam kelas contoh puisi balada. Anganku melayang ke masa depan. Tentara, engkau prajurit terbaik bangsa berjiwa pemberani tanpa ada baca juga: Kuingin menjadi seorang guru yang mengajarkan manusia ilmu agar ilmu di dalam dada akhlak mulia dan bijaksana. Guru adalah pejuang ilmu di garis depan. Aku ingin mejadi seorang guru. Jalan ki ageng giring 3, wonosari, gunungkidul, di yogyakarta. Tentang astronot yang pernah mendarat di bulan nun jauh di sana. Guru itulah satu kata yang terlintas di otakku saat banyak yang bertanya akan jadi apa kau kelak. Kulihat dari jendela kamarku lalu kubaca buku di mejaku.

Guru adalah pejuang ilmu di garis depan. Contoh puisi tentang guru dalam bahasa indonesia. Guru dimataku mereka adalah orang. Agar dapat menyembuhkan orang yang sakit. Kulihat dari jendela kamarku lalu kubaca buku di mejaku.

18 Puisi Cita Citaku Ingin Menjadi Guru 2 Bait
18 Puisi Cita Citaku Ingin Menjadi Guru 2 Bait from imgv2-1-f.scribdassets.com
Aku ingin mejadi seorang guru. Tentang garis yang harus di. Cita cita dima ingin menjadi seorang guru yang bijaksana dan ramah kepada muridnya demi cita citanya ia pun menggalami. Dokumentasi pembelajaran tematik terpadu kurikulum 2013. Doa kami selalu untukmu guruku tercinta. Guru adalah pejuang ilmu di garis depan. Perbedaan puisi syair dan gurindam. Contoh puisi tentang guru dalam bahasa indonesia.

Guru itulah satu kata yang terlintas di otakku saat banyak yang bertanya akan jadi apa kau kelak.

Tentang astronot yang pernah mendarat di bulan nun jauh di sana. Perbedaan puisi syair dan gurindam. Saat kau mengajarkan ilmumu aku selalu. Tiap kali aku melihat ibu guru mengajar. Ayahku seorang polisi badannya gagah dan pemberani bekerja dengan. Anganku melayang ke masa depan. Malam purnama bulan terang benderang. Aku ingin mejadi seorang guru. Aku ingin menjadi seorang guru. Puisi tentang cita citaku ingin menjadi guru 1. Kepintaran, kecerdasasan, menjadi satu kesatuan. Kulihat dari jendela kamarku lalu kubaca buku di mejaku. Doa kami selalu untukmu guruku tercinta.

Bagi nusa bangsa dan agama dan aku ingin menjadi guru. Bagaimana menurut kamu tentang cerpen diatas. Hari ini aku belajar esok aku belajar lusa pun aku belajar karena aku ingin menjadi. Puisi baru bisa dikatakan bebas tanpan kaidah puisi lama nah aku coba membuat puisi baru dengan 2 bait tadinya mau 5 bait tetapi kepanjangan hehe. Contoh puisi tentang guru dalam bahasa indonesia.

Contoh Puisi Cita Cita Menjadi Guru
Contoh Puisi Cita Cita Menjadi Guru from i0.wp.com
Kepintaran, kecerdasasan, menjadi satu kesatuan. Puisi tentang cita citaku ingin menjadi guru 1. Secara garis besar, puisi dapat dikelompokkan menjadi dua yaitu puisi untuk orang dewasa dan puisi untuk anak anak. Bagi nusa bangsa dan agama dan aku ingin menjadi guru. Guru itulah satu kata yang terlintas di otakku saat banyak yang bertanya akan jadi apa kau kelak. Contoh puisi cita cita menjadi guru dokter polisi dan tentara 46doc Aku bisa menjadi apa yang aku inginkan. Anganku melayang ke masa depan.

Doa kami selalu untukmu guruku tercinta.

Seragam putih menebar senyum kebahagiaan. Puisi cita cita menjadi seorang guru. Guru adalah pejuang ilmu di garis depan. Puisi untuk pahlawan tanpa tanda jasa. Tentang garis yang harus di. Aku ingin mejadi seorang guru. Berisi puisi tentang guru tercinta, pahlawan tanpa tanda jasa, singkat menyentuh hati. Puisi cita citaku menjadi masinis. Bila aku besar nanti aku bercita cita menjadi seorang guru yang sabar dan berhati mulia seperti. Demikianlah artikel dari dosenmipa.com mengenai puisi tentang sekolahku : Agar dapat menyembuhkan orang yang sakit. Puisi tentang cita cita menjadi guru. Contoh puisi tentang guru dalam bahasa indonesia.

Posting Komentar untuk "Puisi Tentang Cita-Citaku Menjadi Seorang Guru : Contoh Puisi Cita Cita Menjadi Guru : Guru adalah pejuang ilmu di garis depan."